Exchange the CEC enclosure SAS RAID internal adapter
Before you begin
CAUTION:
This assembly contains mechanical moving parts. Use care when
you service this assembly. (C025)
Use approved ESD procedures to prevent damage.
Attention:
- This procedure is not a stand-alone procedure. Customer disruption and damage to the hardware might occur when microcode and power boundaries are not in the proper conditions for this service action.
- If a serviceable event FRU repair directed you to this procedure, the microcode and power boundaries are already set.
- If a serviceable event FRU repair did not direct you to this procedure, see MAP1230 Replace a FRU without using a serviceable event.
Notes:
- All the cables and FRUs to be removed must be uniquely identified so they can be reinstalled correctly.
- If an installed earthquake resistance kit prevents you from accessing this FRU, refer to MAP1600 If earthquake resistance kit parts prevent you from servicing a rack.
- This procedure is also used to replace a front SAS cable. If you are replacing a front SAS cable, you will install the new cable on the adapter before replacing the adapter in the system.
Preparing the CEC enclosure to remove and replace the SAS RAID internal adapter
Procedure
- Use a replacement part with a valid DS8000® part number to ensure it has the proper firmware, VPD, and/or configuration to ensure it is compatible with the DS8000 service procedures. Attempting to use a generic server FRU might fail and require next level of support to recover.
-
All parts being removed must be marked or identified so they can be installed into their
original locations.
Note: Failure to do this can extend the service duration and may require next level of support assistance.
- The management console keyboard can be moved between the operating and stowed position as needed to allow service clearance above the CEC enclosure.
-
Use the front and rear blue identify LEDs to determine the CEC enclosure to be repaired. Both
blue LEDs should be lit.
- CEC control panel blue identify LED
as shown in Figure 1. - CEC enclosure rear blue identify LED
as shown in Figure 2.
Note: If both the front and rear CEC enclosure identify LEDs are not lit, use the location code listed in the serviceable event FRU list. See MAP1245 Finding FRUs by using location codes.Figure 1. Control panel LEDs 
Figure 2. CEC enclosure rear LEDs 
- CEC control panel blue identify LED
- Verify that the CEC enclosure is in the
power-off state. See Figure 3
- At the rear of the CEC enclosure, view all CEC enclosure power supply DC LEDs.
- Are all DC (output) LEDs flashing?
- Yes, continue with the next step.
- No, do not continue with this FRU replacement. Go to MAP4841 CEC enclosure fails to power off during service processor repair (Models 961, 98x).
Figure 3. Location of the power supplies and LEDs (Models 980, 983, 984) 
-
Attach the electrostatic discharge (ESD) wrist strap.
Attention:
- Attach an electrostatic discharge (ESD) wrist strap to an unpainted metal surface of your hardware to prevent the electrostatic discharge from damaging your hardware.
- When using an ESD wrist strap, follow all electrical safety procedures. An ESD wrist strap is used for static control. It does not increase or decrease your risk of receiving electric shock when using or working on electrical equipment.
- If you do not have an ESD wrist strap, just prior to removing the product from ESD packaging and installing or replacing hardware, touch an unpainted metal surface of the system for a minimum of 5 seconds.
- Disconnect the power cords
from the CEC with the DC (output) LEDs flashing. See Figure 4. Notes:- Ensure that the power cords are correctly labeled.
- The power supply LEDs might continue to flash for up to 20 seconds while internal power is discharged.
- The power cord is fastened to the system by using the hook-and-loop
fastener
. Unstrap the fastener to allow the enclosure to be placed
in the service position.
Figure 4. Removing the power cords (Models 980, 983, 984) 
-
Observe the CEC enclosure control panel green power button LED
. See Figure 5.
- If it is off, go to the next step.
- If it is flashing, the CEC enclosure is still in the power-off state. DO NOT CONTINUE. Ensure that you have unplugged the power cables.
Figure 5. Control panel LEDs 
- Disconnect all remaining cables from the
rear of the CEC enclosure. See Table 1 and Figure 6.
Table 1. CEC enclosure cable connections Connection Description P1-T1 (HMC 1) FSP Ethernet P1-T2 (HMC 2) FSP Ethernet P1-C6-T1, P1-C6-T2 PCIe to I/O enclosures (Model 980, 984) P1-C7-T1, P1-C7-T2 PCIe to I/O enclosures (Model 980, 984) P1-C7-T1, P1-C7-T2, P1-C7-T3, P1-C7-T4 PCIe to I/O enclosures (2U) (Model 983) P1-C8-T1, P1-C8-T2 i2c to RPCs P1-C10-T1, P1-C10-T2 LPAR Ethernet P1-C10-T3, P1-C10-T4 Customer network (optional feature, if used) P1-C11-T1, P1-C11-T2
P1-C11-T3, P1-C11-T4Customer network (optional feature, if used) P1-C12-T1, P1-C12-T2 RS485 to RPCs Figure 6. CEC enclosure location codes (rear view) (Models 980 and 984) 
- Remove the front cover.
- Ensure that you have the electrostatic discharge (ESD) wrist strap attached. If not, attach it now.
- Remove the two shipping screws
(if present) that secure the system
to the rack. - Pull the cover away from the system. The cover has an indentation where you can hold onto it more easily.
Figure 7. Removing the front cover 
-
Place the CEC enclosure into the service position.
-
Remove the front screws
(if present) that secure the
enclosure to the rack.
Figure 8. Removing the front screws 
-
Release the side latches
and pull the latches to slide
out the enclosure assembly.
Figure 9. Releasing the side latches 
-
Remove the front screws
-
Remove the service access cover.
- Ensure that you have the electrostatic discharge (ESD) wrist strap attached. If not, attach it now.
-
Release the latch by pushing the release latch
in the direction shown.
-
Slide the cover
off
the system unit. When the front of the service access cover has cleared the upper frame ledge, lift
the cover up and off the system unit.
Attention: For proper cooling and airflow, replace the cover before turning on the system.Figure 10. Removing the service access cover 
- Attach the electrostatic discharge (ESD) wrist strap. Your
system has an ESD pin on the backplane as shown in Figure 11. Attach the ESD wrist strap
to the ESD pin Note:
- Attach an electrostatic discharge (ESD) wrist strap to an unpainted metal surface of your hardware to prevent the electrostatic discharge from damaging your hardware.
- When using an ESD wrist strap, follow all electrical safety procedures. An ESD wrist strap is used for static control. It does not increase or decrease your risk of receiving electric shock when using or working on electrical equipment.
- If you do not have an ESD wrist strap, just prior to removing the product from ESD packaging and installing or replacing hardware, touch an unpainted metal surface of the system for a minimum of 5 seconds.
Figure 11. Location of the ESD pin 
Removing the CEC enclosure SAS RAID internal adapter
Procedure
To remove the CEC enclosure SAS RAID internal adapter, complete the following steps.
- Ensure that you have the electrostatic discharge (ESD) wrist strap attached. If not, attach it now.
- Remove the fan cage.
- Release the blue touch point latches
by pulling them up, as shown in Figure 12 - Pull up the fan cage out of the system by holding on
to the blue touch point latches
.
Figure 12. Removing the fan cage 
- Release the blue touch point latches
- Label the front SAS cables that are attached to the SAS
RAID internal adapter that you want to remove. Press the latch
and unplug the connector of the cable from the disk drive
backplane, as shown in Figure 13. Leave the other end
of the cable plugged in to the P1 or P2 connector on the SAS RAID
internal adapter until directed to unplug it. Figure 13. Disconnecting the front SAS cables 
- Unseat the front SAS cables from the cable guide on the
side of the system chassis. See Figure 14.
Figure 14. Unseating the SAS cables 
- Lift the two cable retention brackets
in the direction that is shown in Figure 15. - Lift the blue handles
in the direction that is shown in Figure 15. - Lift the SAS RAID internal adapter out of the slot with
the front SAS cables still connected to the adapter. Ensure that the
front SAS cables do not get caught on any components while you are
lifting the SAS RAID internal adapter out of the slot.
Figure 15. Removing the SAS RAID internal adapter 
- Disconnect the front SAS cables from the SAS RAID internal adapter and set them aside for reuse.
- Place the SAS RAID internal adapter on an appropriate ESD surface.
Replacing the CEC enclosure SAS RAID internal adapter
Procedure
To remove the CEC enclosure SAS RAID internal adapter, and the PCIe3 x8 SAS RAID internal adapter 6 Gb, complete the following steps.
- Ensure that you have the electrostatic discharge (ESD) wrist strap attached. If not, attach it now.
- Reconnect the front SAS cables to the SAS RAID internal
adapter front connector before you install the adapter, as shown in Figure 16.
Push the cable connector in until the connector latch clicks.
Note: If you are replacing a front SAS cable, you will install the new cable on the adapter at this time.
- Route the front SAS cables into position while you are lowering the SAS RAID internal adapter into the slot.
- Complete the installation of the SAS RAID internal adapter
by fully seating it. Ensure that the adapter is installed on the locating
pin. Push the blue handles
in the direction that is shown. See Figure 16.
- Complete the installation of the PCIe3 x8 SAS RAID internal
adapter 6 Gb by fully seating it. Ensure that the adapter is installed
on locating pin
. Press the top-center edge of the card down to firmly seat
it into the system backplane connector, as shown in Figure 16.
- Push the blue handles
in the direction that is shown in Figure 16.
- Push the cable retention bracket
in the direction that is shown in Figure 16.
Figure 16. Installing or replacing the SAS RAID internal adapter 
- Route the front SAS cables into the guide block on the
side of the chassis, as shown in Figure 17.
Figure 17. Routing the front SAS cables into the guide block 
- Reconnect the front SAS cables to the connector ports on
the disk drive backplane as shown in Figure 18. Push the
cable connector in until the connector latch clicks.
Figure 18. Reconnecting the front SAS cables
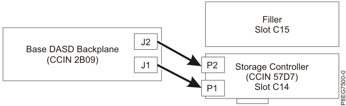
Note: With one PCIe3 x8 SAS RAID internal adapter (CCIN 57D7) in slot P1-C14 (base-storage feature), one SAS cable connects the lower disk drive backplane connector (J1) to the P1 connector on the adapter. A SAS cable connects the upper disk drive backplane connector (J2) to the P2 connector on the same adapter. See Figure 19.Figure 19. Reconnecting the SAS cable in a base-storage configuration 
- Replace the fan cage with the fans installed.
- Ensure that there are no cables obstructing the fan
cage installation area. Important: Failure to ensure that the cables are tucked out of the way can damage the cables.
- Lower the fan cage into the system by holding on to
the blue touch point latches
, as shown in Figure 20.
- Push down on the fan cage to seat in the system.
- Rotate the latches
as shown in Figure 20, to lock
the fan cage in place. Figure 20. Replacing the fan cage in a rack-mounted system 
- Ensure that there are no cables obstructing the fan
cage installation area.
Preparing the CEC enclosure for operation after removing and replacing the fans and fan cage
Procedure
To prepare the system for operation, complete the following steps.
- Ensure that you have the electrostatic discharge (ESD) wrist strap attached. If not, attach it now.
- Replace the service access cover.
- Slide the cover
on to the system unit. - Close the latch release
by pushing it in the direction shown. Figure 21. Installing the service access cover 
- Slide the cover
- Ensure that you have the electrostatic discharge (ESD) wrist strap attached. If not, attach it now.
- Place the CEC enclosure into the operating position.
- Ensure that you have the electrostatic discharge (ESD) wrist strap attached. If not, attach it now.
- Unlock the blue rail safety latches
by lifting them upward. - Push the system unit
back into the rack until both system unit release latches
lock into position. - Secure the enclosure to the rack with screws, if screws
were removed when preparing the enclosure for service.
Figure 22. Placing the CEC enclosure into the operating position 
- Replace the front cover.
- Slide the cover onto the system.
- Close the release latches by pushing in the direction shown in Figure 23. The cover snaps into place and has an indentation where you can hold onto it more easily.
- Replace the shipping screws
.
Figure 23. Installing the front cover 
- Attach the electrostatic discharge (ESD) wrist strap.
- Reconnect all cables, except for power cords. See Table 2 and Figure 24.
If optical Ethernet connections are used, use proper cleaning procedures.Important: The optical cable plugs (LC connectors) and ports (SFPs) must be cleaned before connecting them. Use cleaning tool 54Y4392 or IBM-approved alternative. After cleaning SFPs with the tool, use air bulb 45D2645 or IBM-approved alternative. For detailed procedures, refer to current DS8000 Info Alerts or contact your next level of support.
Table 2. CEC enclosure cable connections Connection Description P1-T1 (HMC 1) FSP Ethernet P1-T2 (HMC 2) FSP Ethernet P1-C6-T1, P1-C6-T2 PCIe to I/O enclosures (Model 980, 984) P1-C7-T1, P1-C7-T2 PCIe to I/O enclosures (Model 980, 984) P1-C7-T1, P1-C7-T2, P1-C7-T3, P1-C7-T4 PCIe to I/O enclosures (2U) (Model 983) P1-C8-T1, P1-C8-T2 i2c to RPCs P1-C10-T1, P1-C10-T2 LPAR Ethernet P1-C10-T3, P1-C10-T4 Customer network (optional feature, if used) P1-C11-T1, P1-C11-T2
P1-C11-T3, P1-C11-T4Customer network (optional feature, if used) P1-C12-T1, P1-C12-T2 RS485 to RPCs Figure 24. CEC enclosure location codes (rear view) (Models 980 and 984) 
- Reconnect the power cords
to the CEC enclosure. See Figure 25. - Fasten the power cords to the enclosure by using the hook-and-loop
fasteners
. Figure 25. Connecting the power cords 
- Verify that the CEC enclosure has power available. See Figure 26
- At the rear of the CEC enclosure, view the CEC enclosure power supply DC LEDs.
- Are all DC (output) LEDs flashing?
- Yes, continue with the next step.
- No, ensure that the power cords are properly connected. If no connection problem is found, contact your next level of support.
Figure 26. Location of the power supplies and LEDs (Models 980, 983, 984) 
- Wait up to 5 minutes for the CEC enclosure control panel
power button LED
to flash. See Figure 27. Note: This ensures that the CEC enclosure is in the power-off state.Is the power button LED flashing?- Yes, go to the next step.
- No, ensure the CEC enclosure power supplies are fully seated. The possible failing FRUs are the CEC enclosure system backplane, I2C interface card and cables, and control panel. You can also call the next level of support.
Figure 27. Control panel LEDs 
- Close the rear door of the rack.
- Exit this service information center parts exchange procedure and return to the procedure that sent you here.